
1948年10月30日,中国人民解放军中原军区发布命令,发行粮秣票。

1949年10月,华中军区司令部、中原临时人民政府实行华中区新粮柴票使用办法。

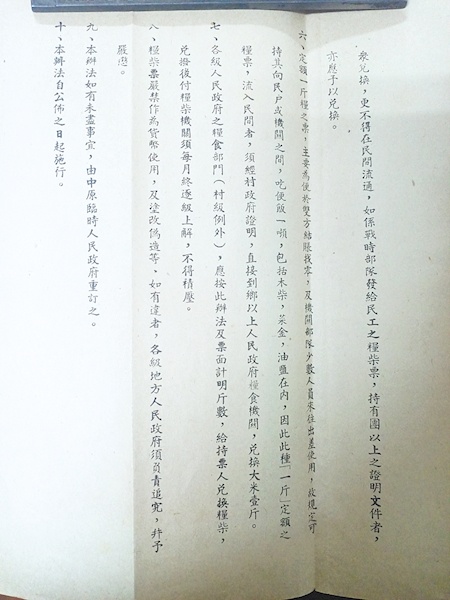
1949年10月发行的华中区新粮柴票票样。
湖北日报全媒记者 周志兵 通讯员 吴华
豪华尽出成功后,逸乐安知与祸双。
时值年关,厉行节约、反对浪费,更需响鼓重捶。
近日,国家发展改革委等四部门联合发布《反食品浪费工作方案》,推进粮食节约减损、遏制餐饮行业食品浪费、加强公共机构餐饮节约、促进食品合理利用、严格执法监督,剑指食品浪费。
百年党史、学思践悟,勤俭是我们的传家宝,什么时候都不能丢掉。
1
“有什么吃什么,绝对禁止定要吃什么”
粮票,尘封历史并不久远的记忆。
1948年10月30日,解放战争进入决战决胜的关键时刻,中国人民解放军中原军区发布命令,发行粮秣票。省档案馆保存了这份珍贵档案。
“为了克服中原地区粮食支付手续的混乱现象,杜绝贪污浪费,保证军食供给,减轻人民负担起见,中原财办决于十一月十六日开始发行野战军粮秣票。”命令中强调,必须以对党、对人民、对革命、对战争负责的精神,保证此一减轻人民负担,消灭贪污浪费,保证军食问题之正确而严肃的措施百分之百完成。
中原军区司令员刘伯承,政治委员邓小平,副司令员陈毅、李先念,副政治委员邓子恢,副政治委员兼政治主任张际春联名签署了这一命令。
根据中原区粮秣票发行及使用制度暂行办法规定,粮秣票分粮食票、饭票、马料票、马草票、烧柴票五种。其中,饭票主要供5人以下少数人员出差或在机关使用,如需在村中吃饭,需通过村公所,随群众吃饭,或向村公所兑取粮杂自做,“但须有什么吃什么,绝对禁止定要吃什么”。
淮海战役于1948年11月6日开始,1949年1月10日结束,解放军“60万对80万”取得完胜。
淮海战役的胜利,是人民群众用小车推出来的。资料显示,战役期间华东、中原、冀鲁豫、华中四个解放区共出动民工543万人,仅向前线运送的粮食就达9.6亿斤。
“有什么吃什么,绝对禁止定要吃什么”,既是厉行节约、反对浪费的坚决命令,更是军民团结、鱼水情深的生动写照。
2
“艰苦奋斗、勤俭节约”的精神传承时刻不能忘记
新中国成立后,饱受战争创伤的中华大地,一穷二白,百废待兴。
1949年10月10日,华中军区司令部、中原临时人民政府发布联合命令,实行华中区新粮柴票使用办法。
档案显示,新粮柴票取消了饭票,分大米票、柴票、马料票、马草票四种。该办法规定,新粮柴票仅限于军队机关因公外出人员,向地方人民政府粮食机关兑换,不得强向群众兑换,不得在民间流通。其中,大米票票面分1斤、10斤、50斤、200斤、300斤共5种面额。
根据规定,定额1斤的大米票,主要便于结账找零。持其可向民户或机关之间,吃一顿便饭,包括木柴、茶金和油盐在内。若流入民间,可凭村政府证明,到乡以上人民政府粮食机关,兑换大米1斤。
1955年,为应对粮食供需矛盾,我国正式推出粮食物资定量、凭票供应的规定。粮票等“四证三票”,长期“捆绑”于百姓的生活之中。
计划经济时代的粮食短缺,随着改革开放国力增强,逐渐成为历史。上世纪90年代初,粮票从人们视野中消失。
从解决温饱问题,到全面建成小康社会,无论时代怎样变化,“民以食为天,食以俭养德”的警示时刻不能忘记。
从小小红船到简朴窑洞,从革命年代“红米饭南瓜汤”的艰辛到建设时期“千日打柴不能一日烧”的号召,从“两个务必”到反“四风”,中国共产党人“艰苦奋斗、勤俭节约”的精神传承时刻不能忘记。
一粒米千滴汗,粒粒粮食汗珠换。
习近平总书记强调,要高度重视节约粮食。即使生活一天天好了,也没有任何权利浪费!
在全社会营造浪费可耻、节约为荣的氛围,制止“舌尖上的浪费”,才能更好保障粮食安全,把“饭碗”牢牢端在自己手上。这是历史经验,也是永远不可忽视的告诫。
Copyright © 2001-2025 湖北荆楚网络科技股份有限公司 All Rights Reserved
互联网新闻信息许可证 4212025003 -
增值电信业务经营许可证 鄂B2-20231273 -
广播电视节目制作经营许可证(鄂)字第00011号
信息网络传播视听节目许可证 1706144 -
互联网出版许可证 (鄂)字3号 -
营业执照
鄂ICP备 13000573号-1
鄂公网安备 42010602000206号
版权为 荆楚网 www.cnhubei.com 所有 未经同意不得复制或镜像