新海南客户端、南海网、南国都市报5月24日消息(记者 黄婷 实习生 吴祖杭)24日,海南省发布《2022年海南省普通高考享受政策性加分资格的考生名单公示(一)》。相关考生请注意,加分特征审核结论自网上公示之日起15个工作日内,考生须在报名系统内确认所对应特征资格待遇。
省考试局指出,根据海南省教育厅等六部门关于印发《海南省进一步推进普通高考加分改革实施办法》(琼教规〔2021〕8号)的通知精神,经有关部门审核,分批将享受政策性加分的考生名单予以公示,接受社会监督。加分特征审核结论自网上公示之日起15个工作日内,考生须在报名系统内确认所对应特征资格待遇。
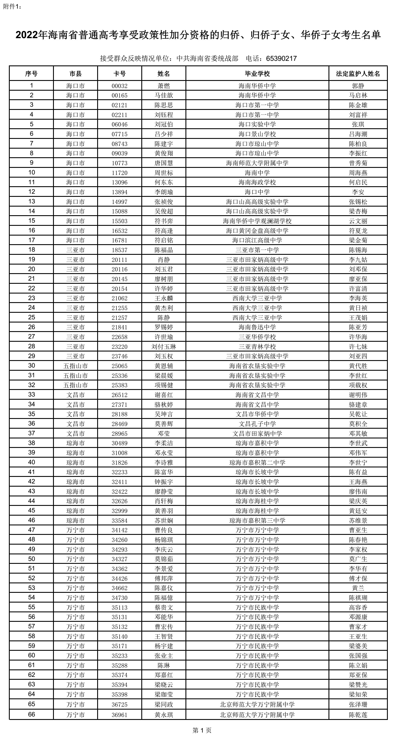
记者了解到,此次公示的名单包括2022年普通高考享受政策性加分资格的归侨、归侨子女、华侨子女考生名单;2022年普通高考享受政策性加分的台湾籍考生名单;2022年普通高考已享受加分的往届生考生名单。另外,公布了考生报名系统内确认示意图。
附名单和考生报名系统内确认示意图













Copyright © 2001-2025 湖北荆楚网络科技股份有限公司 All Rights Reserved
互联网新闻信息许可证 4212025003 -
增值电信业务经营许可证 鄂B2-20231273 -
广播电视节目制作经营许可证(鄂)字第00011号
信息网络传播视听节目许可证 1706144 -
互联网出版许可证 (鄂)字3号 -
营业执照
鄂ICP备 13000573号-1
鄂公网安备 42010602000206号
版权为 荆楚网 www.cnhubei.com 所有 未经同意不得复制或镜像